基本信息:
中文名称 (2,6-二氧代-4-哌啶)-乙酸
英文名称 2-(2,6-dioxopiperidin-4-yl)acetic acid
英文别名 (2,6-Dioxo-4-piperidinyl)acetic acid;(2,6-Dioxo-piperidin-4-yl)-acetic acid;2,6-dioxo-4-piperidineacetic acid;4-piperidineacetic acid,2,6-dioxo;3-Carboxymethylglutaramide;(2,6-Dioxo-[4]piperidyl)-essigsaeure;(2,6-dioxo-[4]piperidyl)-acetic acid;2,6-dioxopiperidine-4-acetic acid;
CAS号 6258-28-2
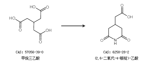
合成路线:
1.通过1,3-丙酮二羧酸二乙酯合成(2,6-二氧代-4-哌啶)-乙酸

2.通过甲烷三乙酸合成(2,6-二氧代-4-哌啶)-乙酸

合成路线仅供参考