你好,欢迎来到中华试剂网 购试剂 买耗材! [请登录][注册有惊喜]

货号快速下单 | 签到送积分   | 会员中心 | 客服热线:400-021-2765

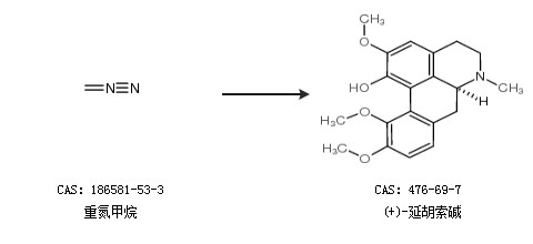
(+)-延胡索碱的合成路线有哪些?

提问时间:2021/4/21 17:43:25
(+)-延胡索碱有什么方法可以合成?

1条回复:

匿名
2021/4/21 17:43:25
基本信息:
中文名称 (+)-延胡索碱
中文别名 紫定酚;
英文名称 (+)-CORYDALINE
英文别名 d-corydine;glaucentrin;O11-Methylcorytuberine;glaucentrine;
CAS号 476-69-7

合成路线:
1.通过重氮甲烷合成(+)-延胡索碱


2.通过重氮甲烷和紫堇块茎碱合成(+)-延胡索碱


合成路线仅供参考
回复