你好,欢迎来到中华试剂网 购试剂 买耗材! [请登录][注册有惊喜]

货号快速下单 | 签到送积分   | 会员中心 | 客服热线:400-021-2765

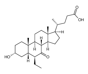
CAS号915038-25-4是什么化学药品?

提问时间:2021/4/21 9:26:45
CAS号为915038-25-4的化学品叫什么名称?

1条回复:

匿名
2021/4/21 9:26:45
CAS号915038-25-4的
中文名称 奥贝胆酸中间体
英文名称 3α-hydroxy-6β-ethyl-7-keto-5β-cholanic acid
英文别名 Obeticholic Acid intermediate;;; Cholan-24-oic acid,6-ethyl-3-?hydroxy-7-oxo-,(3Alpha,5Beta,6Beta)-

结构式:
回复