基本信息:
中文名称 氢羟吗啡酮
中文别名 羟吗啡酮;
英文名称 (4R,4aS,7aR,12bS)-4a,9-dihydroxy-3-methyl-2,4,5,6,7a,13-hexahydro-1H-4,12-methanobenzofuro[3,2-e]isoquinoline-7-one
英文别名 (-)-oxycodone;(-)-Oxymorphone;14-Hydroxydihydromorphinone;Numorphan;Oximorphonum;Dihydroxymorphinone;Dihydrohydroxymorphinone;Oxymorphine;N-methylnaltrexone;Opana;
CAS号 76-41-5
合成路线:
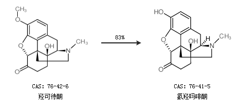
1.通过羟可待酮合成氢羟吗啡酮,收率约83%;

2.通过羟可待酮和DL-甲硫氨酸合成氢羟吗啡酮,收率约73%;

以上合成路线仅供参考