基本信息:
中文名称 Z-甘氨酰酪氨酸
英文名称 Z-GLU-TYR-OH
英文别名 Z-GLU-TYR;Z-L-glutamyl-L-tyrosine;N-CBZ-GLU-TYR;N-benzyloxycarbonyl-L-glutamyl-L-tyrosine;Z-L-Glu-L-Tyr-OH;CBZ-L-GLU-L-TYR;Z-L-A-GLUTAMYL-L-TYROSINE;N-carbobenzyloxy-Glu-Tyr;Cbz-L-Glu-L-Tyr-OH;
CAS号 988-75-0
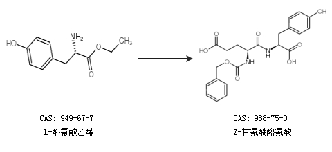
合成路线:
1.通过L-酪氨酸乙酯合成Z-甘氨酰酪氨酸

2.通过N-Cbz-L-谷氨酸-5-乙酯合成Z-甘氨酰酪氨酸

以上合成路线仅供参考