你好,欢迎来到中华试剂网 购试剂 买耗材! [请登录][注册有惊喜]

货号快速下单 | 签到送积分   | 会员中心 | 客服热线:400-021-2765

DL-5-甲基色氨酸的合成路线有哪些?

提问时间:2021/4/20 10:31:02
DL-5-甲基色氨酸有什么方法可以合成?

1条回复:

匿名
2021/4/20 10:31:02
基本信息:
中文名称 DL-5-甲基色氨酸
中文别名 5-甲基-DL-色氨酸;
英文名称 5-METHYL-DL-TRYPTOPHAN
英文别名 2-amino-3-(5-methyl-1H-indol-3-yl)propanoic acid;
CAS号 951-55-3

合成路线:
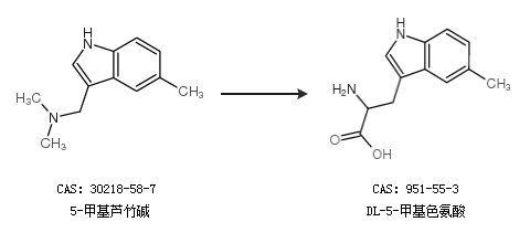
1.通过5-甲基芦竹碱合成DL-5-甲基色氨酸


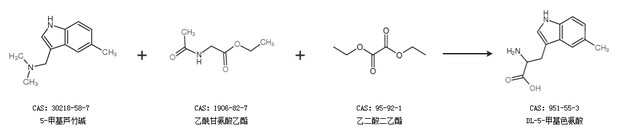
2.通过5-甲基芦竹碱、乙酰甘氨酸乙酯和乙二酸二乙酯合成DL-5-甲基色氨酸


以上合成路线仅供参考
回复