你好,欢迎来到中华试剂网 购试剂 买耗材! [请登录][注册有惊喜]

货号快速下单 | 签到送积分   | 会员中心 | 客服热线:400-021-2765

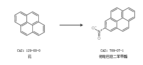
他唑巴坦二苯甲酯的合成路线有哪些?

提问时间:2021/4/20 10:31:02
他唑巴坦二苯甲酯有什么方法可以合成?

1条回复:

匿名
2021/4/20 10:31:02
基本信息:
中文名称 他唑巴坦二苯甲酯
中文别名 2-硝基芘;
英文名称 2-NITROPYRENE
英文别名 Pyrene,2-nitro;2-Nitro-pyren;2-Nitro-pyrene;
CAS号 789-07-1

合成路线:
1.通过4,5,9,10-四氢苯芘合成他唑巴坦二苯甲酯


2.通过芘合成他唑巴坦二苯甲酯


以上合成路线仅供参考
回复