基本信息:
中文名称 精噁唑禾草灵
中文别名 精乙基噁唑禾草灵;威霸;(R)-2-{4-[(6-氯苯并噁唑-2-基)氧]苯氧基}丙酸乙酯;(R)-2-[4-(6-氯-1,3-苯并恶唑-2-基氧)苯氧基]丙酸乙酯;骠马;高恶唑禾草灵;精恶唑禾草灵;(2R)-(+)-2-[4-(6-氯苯并噁唑-2-基氧基)苯氧基]丙酸乙酯;
英文名称 fenoxaprop-P-ethyl
英文别名 ethyl (R)-2-[4-(6-chlorobenzoxazol-2-yloxy)phenoxy]propionate;ethyl (2R)-2-[4-[(6-chloro-2-benzoxazolyl)oxy]phenoxy]propanoate;ethyl (2R)-2-{4-[(6-chloro-1,3-benzoxazol-2-yl)oxy]phenoxy}propanoate;ethyl (R)-2-[4-(6-chloro-1,3-benzoxazol-2-yloxy)phenoxy]propionate;ethyl (2R)-2-[4-[(6-chloro-1,3-benzoxazol-2-yl)oxy]phenoxy]propanoate;Ethyl (2R)-(+)-2-[4-(6-chlorobenzoxazol-2-yloxy)phenoxy]propionate;
CAS号 71283-80-2
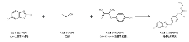
合成路线:
1.通过4-[(6-氯-1,3-苯并恶唑-2-基)氧基]苯酚和L-(-)-O-对甲苯磺酰基乳酸乙酯合成精噁唑禾草灵

2.通过2,6-二氯苯并噁唑、乙醇和(R)-(+)-2-(4-羟基苯氧基)丙酸合成精噁唑禾草灵

以上合成路线仅供参考