你好,欢迎来到中华试剂网 购试剂 买耗材! [请登录][注册有惊喜]

货号快速下单 | 签到送积分   | 会员中心 | 客服热线:400-021-2765

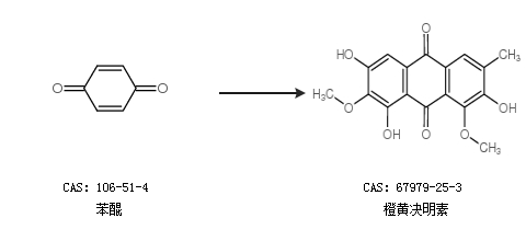
橙黄决明素的合成路线有哪些?

提问时间:2021/4/20 10:31:02
橙黄决明素有什么方法可以合成?

1条回复:

匿名
2021/4/20 10:31:02
基本信息:
中文名称 橙黄决明素
英文名称 aurantio-obtusin
英文别名 1,3,7-trihydroxy-2,8-dimethoxy-6-methylanthracene-9,10-dione;Aurantio-obtusin;
CAS号 67979-25-3

合成路线:
1.通过苯醌合成橙黄决明素


以上合成路线仅供参考
回复