你好,欢迎来到中华试剂网 购试剂 买耗材! [请登录][注册有惊喜]

货号快速下单 | 签到送积分   | 会员中心 | 客服热线:400-021-2765

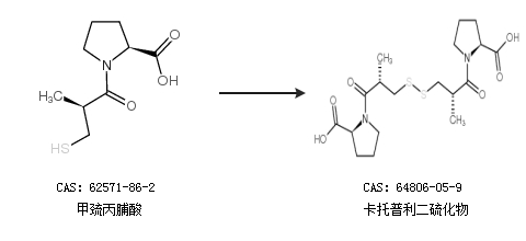
卡托普利二硫化物的合成路线有哪些?

提问时间:2021/4/20 10:31:02
卡托普利二硫化物有什么方法可以合成?

1条回复:

匿名
2021/4/20 10:31:02
基本信息:
中文名称 卡托普利二硫化物
中文别名 卡托普利杂质A;
英文名称 captopril disulfide
英文别名 Captopril Disulfide;1,1''-[Dithiobis[(2S)-2-methyl-1-oxo-3,1-propanediyl]]bis-L-proline;CAPTOPRIL DISULFIDE;
CAS号 64806-05-9

合成路线:
1.通过甲巯丙脯酸合成卡托普利二硫化物


2.通过催产素和甲巯丙脯酸合成卡托普利二硫化物


以上合成路线仅供参考
回复