你好,欢迎来到中华试剂网 购试剂 买耗材! [请登录][注册有惊喜]

货号快速下单 | 签到送积分   | 会员中心 | 客服热线:400-021-2765

1,3-二硝基丙烷的合成路线有哪些?

提问时间:2021/4/20 10:31:01
1,3-二硝基丙烷有什么方法可以合成?

1条回复:

匿名
2021/4/20 10:31:01
基本信息:
中文名称 1,3-二硝基丙烷
中文别名 1,3-二硝基丙烷;
英文名称 1,3-dinitropropane
英文别名 1-Dnitropropane;1,3-dinitro-propane;1,3-Dinitro-propan;Propane,1,3-dinitro;
CAS号 6125-21-9

合成路线:
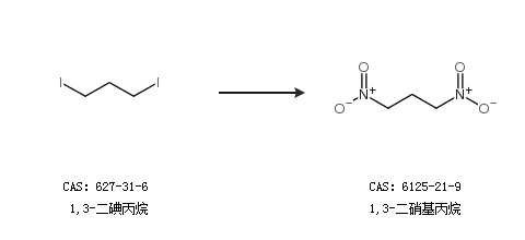
1.通过1,3-二碘丙烷合成1,3-二硝基丙烷


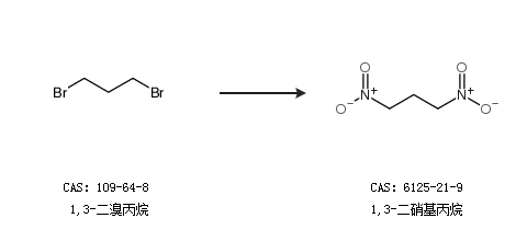
2.通过1,3-二溴丙烷合成1,3-二硝基丙烷


以上合成路线仅供参考
回复