基本信息:
中文名称 霜脲氰
中文别名 清菌脲;酰脲氰;菌疫清;1-(2-氰基-2-甲氧基亚氨基乙酰基)-3-乙基脲;2-氰基-N-[(乙胺基)羰基]-2-(甲氧基亚胺基)乙酰胺;氰基-N-[(乙胺基)羧基]-2-(甲氧亚胺基)乙酰胺;
英文名称 cymoxanil
英文别名 Cymoxanil;cymoxyanil;CIMOXPRON;(2Ξ)-2-cyano-N-(ethylcarbamoyl)-2-(methoxyimino)acetamide;MANEX C-8;1-[(EZ)-2-cyano-2-methoxyiminoacetyl]-3-ethylurea;DPX 3217;CURZATE;PULSAN;dpx3217m;RIFLE XG;2-cyano-N-[(ethylamino)carbonyl]-2-(methoxyimino)acetamide;
CAS号 57966-95-7
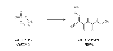
合成路线:
1.通过1-氰乙酰基-3-乙基脲合成霜脲氰

2.通过硫酸二甲酯合成霜脲氰

以上合成路线仅供参考