基本信息:
中文名称 1-雄烯二酮
中文别名 雄甾-5-烯二酮;
英文名称 (5S,8R,9S,10R,13S,14S)-10,13-dimethyl-5,6,7,8,9,11,12,14,15,16-decahydro-4H-cyclopenta[a]phenanthrene-3,17-dione
英文别名 1-androstenedione;
CAS号 571-40-4
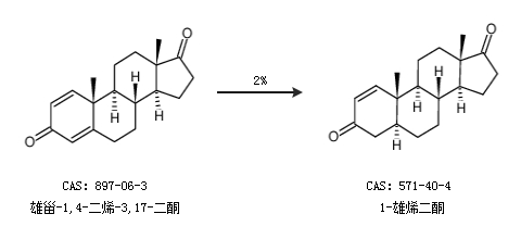
合成路线:
1.通过1-睾酮合成1-雄烯二酮,收率约90%;

2.通过雄甾-1,4-二烯-3,17-二酮合成1-雄烯二酮,收率约2%;

以上合成路线仅供参考