你好,欢迎来到中华试剂网 购试剂 买耗材! [请登录][注册有惊喜]

货号快速下单 | 签到送积分   | 会员中心 | 客服热线:400-021-2765

乙酰基丙二酸二乙酯的合成路线有哪些?

提问时间:2021/4/20 10:31:01
乙酰基丙二酸二乙酯有什么方法可以合成?

1条回复:

匿名
2021/4/20 10:31:01
基本信息:
中文名称 乙酰基丙二酸二乙酯
英文名称 Diethyl 2-acetylmalonate
英文别名 diethyl 2-acetylpropanedioate;
CAS号 570-08-1

合成路线:
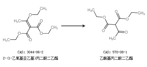
1.通过2-(1-乙氧基亚乙基)丙二酸二乙酯合成乙酰基丙二酸二乙酯


2.通过乙酰氯合成乙酰基丙二酸二乙酯


以上合成路线仅供参考
回复