基本信息:
中文名称 2-丙基丙烯酸
英文名称 2-methylidenepentanoic acid
英文别名 2-propylpropenoic acid;2-Propylacrylic acid;penten-2-oic acid;propylacrylic acid;2-Methylenepentanoic Acid;n-propylacrylic acid;2-PROPYLACRYLIC ACID 99;
CAS号 5650-75-9
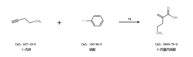
合成路线:
1.通过1-戊炔和硫酚合成2-丙基丙烯酸,收率约7%;

2.通过1-戊炔、硫酚和4-甲苯硫酚合成2-丙基丙烯酸,收率约10%;

以上合成路线仅供参考