基本信息:
中文名称 花旗松素
中文别名 紫杉叶素;二氢槲皮素;
英文名称 (+)-taxifolin
英文别名 (3R)-2-(3,4-Dihydroxyphenyl)-3,5,7-trihydroxy-2,3-dihydro-4H-chromen-4-one;(+)-Taxifolin;Taxifolin;(2R,3R)-3,3'',4'',5,7-Pentahydroxyflavanone;
CAS号 480-18-2
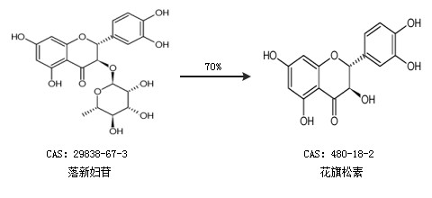
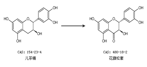
合成路线:
1.通过落新妇苷合成花旗松素,收率约70%;

2.通过儿茶精合成花旗松素

以上合成路线仅供参考