你好,欢迎来到中华试剂网 购试剂 买耗材! [请登录][注册有惊喜]

货号快速下单 | 签到送积分   | 会员中心 | 客服热线:400-021-2765

4-甲基二苯乙烯的合成路线有哪些?

提问时间:2021/4/20 10:31:01
4-甲基二苯乙烯有什么方法可以合成?

1条回复:

匿名
2021/4/20 10:31:01
基本信息:
中文名称 4-甲基二苯乙烯
中文别名 4-甲基芪;
英文名称 4-Methylstilbene
英文别名 p-methylstilbene;4-methyl-stilbene;
CAS号 4714-21-0

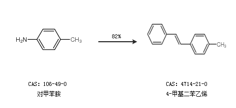
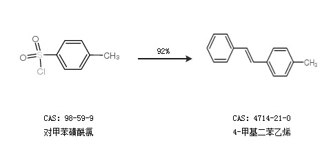
合成路线:
1.通过对甲苯胺合成4-甲基二苯乙烯,收率约82%;


2.通过对甲苯磺酰氯合成4-甲基二苯乙烯,收率约92%;


以上合成路线仅供参考
回复