基本信息:
中文名称 龙脑烯醛
中文别名 2,2,3-三甲基-(R)-3-环戊烯-1-乙醛;2,2,3-三甲基环戊-3-烯-1-乙醛;
英文名称 (R)-α-campholenaldehyde
英文别名 Alphaampholenic Aldehyde;campholene aldehyde;2-(2,2,3-trimethylcyclopent-3-enyl)acetaldehyde;Aromavert;2,2,3-trimethyl-3-cyclopenten-1-acetaldehyde;CAMPHOLENIALDEHYDE;2-(2,2,3-trimethylcyclopent-3-en-1-yl)-acetaldehyde;(R)-Campholenaldehyde;(+/-)-2,2,3-trimethyl-cyclopent-3-ene-1-acetaldehyde;CAMPHOLENALDEHYD P;(R)-alpha-campholenaldehyde;Campholenic aldehyde;Trimethyl cyclopentenyl acetaldehyde;
CAS号 4501-58-0
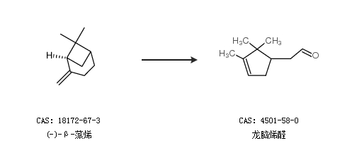
合成路线:
1.通过α-环氧蒎烷合成龙脑烯醛,收率约89%;

2.通过(-)-β-蒎烯合成龙脑烯醛

以上合成路线仅供参考