基本信息:
中文名称 3-羟基苯基膦酸
英文名称 (3-hydroxyphenyl)phosphonic acid
英文别名 (3-hydroxy-phenyl)-phosphonic acid;3-Hydroxybenzenephosphonic acid;3-Hydroxyphenylphosphonsaeure;Phosphonic acid,(m-hydroxyphenyl);3-hydroxy-phenylphoshonic acid;(m-Hydroxyphenyl)phosphonic acid;
CAS号 33733-31-2
合成路线:
1.通过(3-氨基苯基)膦酸合成3-羟基苯基膦酸

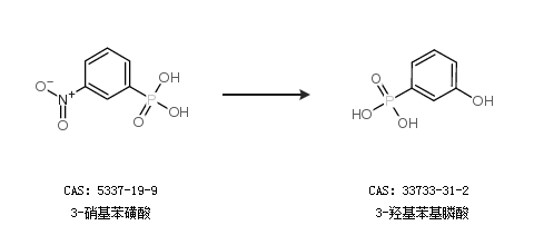
2.通过3-硝基苯磺酸合成3-羟基苯基膦酸

以上合成路线仅供参考