基本信息:
中文名称 鲁比前列素
中文别名 (2R,4AR,5R,7AR)-2-(1,1-二氟戊基)-2-羟基-6-氧代-3,4,4A,5,7,7A-六氢环戊并[B]吡喃-5-庚酸;鲁比前列酮;卢比前列酮;
英文名称 (2R,4aR,5R,7aR)-2-(1,1-Difluoropentyl)-2-hydroxy-6-oxo-3,4,4a,5,7,7a-hexahydrocyclopenta[b]pyran-5-heptanoic acid
英文别名 Prostan-1-oic acid,11,15-epoxy-16,16-difluoro-15-hydroxy-9-oxo-,(11alpha,15R);Spi 0211;7-[(2R,4aR,5R,7aR)-2-(1,1-difluoropentyl)-2-hydroxy-6-oxooctahydrocyclopenta[b]pyran-5-yI]heptanoic acid;(2R,4aR,5R,7aR)-2-(1,1-Difluoropentyl)-2-hydroxy-6-oxo-3,4,4a,5,7,7a-hexahydrocyclopenta[b]pyran-5-h;Unii-7662kg2R6k;(-)-7-[(2R,4aR,5R,7aR)-2-(1,1-difluoropentyl)-2-hydroxy-6-oxooctahydrocyclopenta[b]pyran-5-yl]heptanoic acid;[3H]-Lubiprostone;
CAS号 333963-40-9
合成路线:
1.通过鲁比前列素合成鲁比前列素,收率约69%;

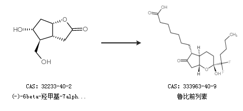
2.通过(-)-6beta-羟甲基-7alpha-羟基-顺式-2-氧杂双环[3.3.0]辛-3-酮合成鲁比前列素

以上合成路线仅供参考