基本信息:
中文名称 奥沙美辛
英文名称 oxametacin
英文别名 Oxametacinum [INN-Latin];Oxametacine [INN-French];Oxametacin;2-[1-(4-chloro-benzoyl)-5-methoxy-2-methyl-indol-3-yl]-N-hydroxy-acetamide;Oxametacin [INN];Acido indoxamico [Italian];Indoxamic acid;2-[1-(4-chlorobenzoyl)-5-methoxy-2-methylindol-3-yl]-N-hydroxyacetamide;Oxametacine;2-{1-[(4-chlorophenyl)carbonyl]-5-methoxy-2-methylindol-3-yl}ethanehydroxamic acid;Oxametacina [INN-Spanish];1-(4-chloro-benzoyl)-5-methoxy-2-methyl-3-indolyl-acetohydroxamic acid;Oxamethacin;1-(p-chlorobenzoyl)-2-methyl-5-methoxyindole-3-acetohydroxamic acid;Flogar;
CAS号 27035-30-9
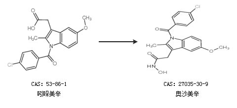
合成路线:
1.通过吲哚美辛合成奥沙美辛

以上合成路线仅供参考