你好,欢迎来到中华试剂网 购试剂 买耗材! [请登录][注册有惊喜]

货号快速下单 | 签到送积分   | 会员中心 | 客服热线:400-021-2765

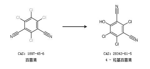
4 - 羟基百菌清的合成路线有哪些?

提问时间:2021/4/20 10:31:00
4 - 羟基百菌清有什么方法可以合成?

1条回复:

匿名
2021/4/20 10:31:00
基本信息:
中文名称 4 - 羟基百菌清
英文名称 Hydroxy Chlorothalonil
英文别名 2,4,5-trichloro-6-hydroxybenzene-1,3-dicarbonitrile;
CAS号 28343-61-5

合成路线:
1.通过百菌清合成4 - 羟基百菌清,收率约12%;


2.通过百菌清合成4 - 羟基百菌清


以上合成路线仅供参考
回复