基本信息:
中文名称 二草酸硼酸锂
中文别名 二乙二酸硼酸锂;双草酸硼酸锂;双草酸硼酸锂;双乙二酸硼酸锂;双乙二酸硼酸锂;
英文名称 lithium,1,4,6,9-tetraoxa-5-boranuidaspiro[4.4]nonane-2,3,7,8-tetrone
英文别名 P130;lithium bis[1,2-oxalato(2-)-O,O''] borate;Lithium bis(oxalate)borate;lithium bis(oxalato)borate;bis(oxalato)borate lithium salt;Lithium bis(oxalato)borate;Lithium bis(oxalate)borate LiBOB Lithium bis(ethanedioato)borate;lithium bis(oxolato)borate;bis(oxalato) borate;
CAS号 244761-29-3
合成路线:
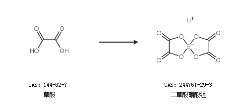
1.通过草酸合成二草酸硼酸锂

2.通过硼酸、草酸和氢氧化锂合成二草酸硼酸锂

以上合成路线仅供参考