基本信息:
中文名称 人参皂苷 Rg1
中文别名 人参皂苷Rg1;人参皂荚RG1;人参皂苷Rg1;
英文名称 ginsenoside Rg1
英文别名 ginsenoside-Rg2;Gensenoside Rg1;panaxosiderg1;Ginsenoside Rg1;ginsenosidea2;GINSENOSIDE RGL;SANCHINOSIDE C1;ginsenosideg1;GinsenosideRg1;PANAXOSIDE A;Rg1;
CAS号 22427-39-0
合成路线:
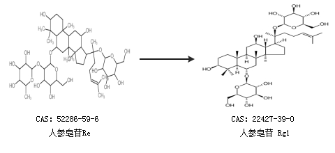
1.通过人参皂苷Re合成人参皂苷 Rg1

2.通过人参皂苷Re合成人参皂苷 Rg1

以上合成路线仅供参考