基本信息:
中文名称 二乙基二硫代氨基甲酸铵
中文别名 二乙基二硫甲胺酸氨;
英文名称 AMMONIUM DIETHYLDITHIOCARBAMATE
英文别名 NH4*S2CNEt2;AMMONIUM N,N-DIETHYLDITHIOCARBAMATE;Ammonium-diethyldithiocarbamat;Ammoniumdiethyldithioncarbamate;Ammonium diethyldithiocarbamate,Diethyldithiocarbamic acid ammonium salt;DIETHYLDITHIOCARBAMIC ACID,AMMONIUM SALT;Ditiocarb ammonium;Einecs 244-224-9;ammoniumdiethyldithiocarbamategr;N,N-Diethyldithiocarbamic acid ammonium salt;
CAS号 21124-33-4
合成路线:
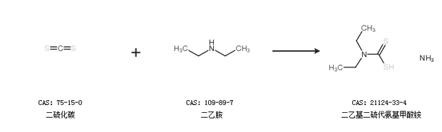
1.通过二硫化碳和二乙胺合成二乙基二硫代氨基甲酸铵

以上合成路线仅供参考