你好,欢迎来到中华试剂网 购试剂 买耗材! [请登录][注册有惊喜]

货号快速下单 | 签到送积分   | 会员中心 | 客服热线:400-021-2765

3-(五氟苯基)丙酸的合成路线有哪些?

提问时间:2021/4/20 10:30:59
3-(五氟苯基)丙酸有什么方法可以合成?

1条回复:

匿名
2021/4/20 10:30:59
基本信息:
中文名称 3-(五氟苯基)丙酸
英文名称 3-(Pentafluorophenyl)propionic acid
英文别名 3-(2,3,4,5,6-pentafluorophenyl)propanoic acid;
CAS号 2002-92-8

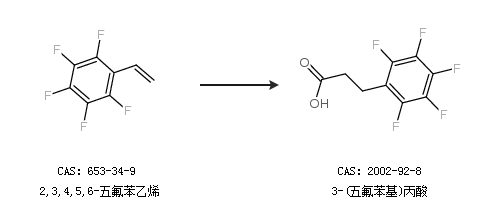
合成路线:
1.通过2,3,4,5,6-五氟苯乙烯合成3-(五氟苯基)丙酸


以上合成路线仅供参考
回复