你好,欢迎来到中华试剂网 购试剂 买耗材! [请登录][注册有惊喜]

货号快速下单 | 签到送积分   | 会员中心 | 客服热线:400-021-2765

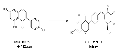
槐角苷的合成路线有哪些?

提问时间:2021/4/20 10:30:58
槐角苷有什么方法可以合成?

1条回复:

匿名
2021/4/20 10:30:58
基本信息:
中文名称 槐角苷
中文别名 槐甙;染料木素-4-葡萄糖甙;
英文名称 Sophoricoside
英文别名 4''-(β-D-Glucopyranosyloxy)-5,7-dihydroxyisoflavone;4H-1-Benzopyran-4-one,3-[4-(;Genistein 4''-Glucoside;
CAS号 152-95-4

合成路线:
1.通过金雀异黄酮合成槐角苷


以上合成路线仅供参考
回复