基本信息:
中文名称 缬沙坦苄酯
中文别名 缬沙坦相关物质C;
英文名称 (S)-Benzyl 2-(N-((2''-(1H-tetrazol-5-yl)-[1,1''-biphenyl]-4-yl)methyl)pentanamido)-3-methylbutanoate
英文别名 benzyl (2S)-3-methyl-2-[pentanoyl-[[4-[2-(2H-tetrazol-5-yl)phenyl]phenyl]methyl]amino]butanoate;
CAS号 137863-20-8
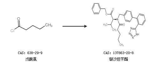
合成路线:
1.通过戊酰氯合成缬沙坦苄酯

2.通过甲醇合成缬沙坦苄酯

以上合成路线仅供参考