基本信息:
中文名称 5’-肌苷酸
中文别名 5''-肌苷酸;次黄嘌呤核苷酸;
英文名称 IMP
英文别名 5''-inosinic acid;5''-inosinate;i-5''-p;5''-inosine monophosphate;INOSINIC ACID;Ino-5''-P;inosine 5''-monophosphate free acid;1-5''-P;hypoxanthosine 5''-monophosphate;inosinemonophosphate;
CAS号 131-99-7
合成路线:
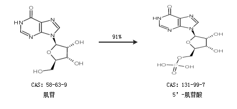
1.通过肌苷合成5’-肌苷酸,收率约91%;

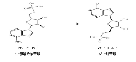
2.通过5''-腺嘌呤核苷酸合成5’-肌苷酸

以上合成路线仅供参考