基本信息:
中文名称 磺胺苯
中文别名 苯磺胺;4-氨基-N-苯基苯磺酰胺;
英文名称 4-amino-N-phenylbenzenesulfonamide
英文别名 Sulfabenz;4-aminobenzenesulphonanilide;4-Aminobenzenesulfonanilide;4-amino-N-phenylbenzenesulphonamide;1-aminobenzene-4-sulphonic acid phenylamide;p-Aminobenzenesulfonanilide;Benzenesulfonamide,4-amino-N-phenyl;Eastman-4770;4-amino-N-phenyl-benzenesulfonamide;Sulfa Vet;
CAS号 127-77-5
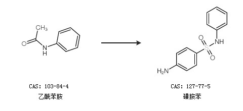
合成路线:
1.通过对乙酰胺基苯磺酰氯合成磺胺苯

2.通过乙酰苯胺合成磺胺苯

以上合成路线仅供参考