基本信息:
中文名称 磷胺
中文别名 迪莫克;2-氯-3-二乙氨基甲酰-1-甲基乙烯基二甲基磷酸酯;磷酸 O,O-二甲基-O-(2-氯-3-N,N-二乙基甲酰氨基丙烯-2-基)酯;O,O-二甲基-O-[2-氯-2-(二乙基氨基甲酰-1-甲基)]乙烯基磷酸酯;O,O-二甲基-O-[2-氯-2-(二乙基胺基甲酰基-1-甲基)]乙烯基磷酸酯;大灭虫;
英文名称 phosphamidon
英文别名 2-chloro-3-(diethylamino)-1-methyl-3-oxo-1-propen-1-yl dimethyl phosphate;(EZ)-2-chloro-2-diethylcarbamoyl-1-methylvinyl dimethyl phosphate;PHOSPHAMIDON;(EZ)-2-chloro-3-dimethoxyphosphinoyloxy-N,N-diethylbut-2-enamide;(2Ξ)-3-chloro-4-(diethylamino)-4-oxobut-2-en-2-yl dimethyl phosphate;Phosphamidon;
CAS号 13171-21-6
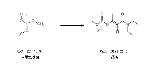
合成路线:
1.通过N,N-二乙基乙酰乙酰胺合成磷胺

2.通过三甲氧基磷合成磷胺

以上合成路线仅供参考