基本信息:
中文名称 硫酸羟氯喹
中文别名 羟基氯喹;2-[[4-[(7-氯喹啉-4-基)氨基]戊基](乙基)氨基]乙醇;
英文名称 hydroxychloroquine
英文别名 Polirreumin;Oxychloroquine;Oxichlorochinum;Plaquenil;2-[4-[(7-chloroquinolin-4-yl)amino]pentyl-ethylamino]ethanol;Hydroxychlorochin;Oxychlorochin;Hidroxicloroquina;Oxichloroquine;Quensyl;
CAS号 118-42-3
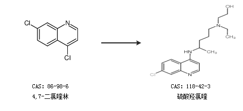
合成路线:
1.通过4,7-二氯喹林合成硫酸羟氯喹

以上合成路线仅供参考