基本信息:
中文名称 N-苯乙基丙酰胺
英文名称 N-(2-phenylethyl)propanamide
英文别名 N-Phenaethyl-propionamid;N-(2-phenylethyl)-propionamide;N-phenethyl-propionamide;N-phenethylpropanamide;Propionamide,N-phenethyl;N-Propionyl-2-phenylethylamin;Propanamide,N-(2-phenylethyl);
CAS号 6283-04-1
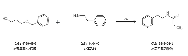
合成路线:
1.通过2-苯乙胺合成N-苯乙基丙酰胺,收率约93%;

2.通过3-苄氧基-1-丙醇和2-苯乙胺合成N-苯乙基丙酰胺,收率约66%;

以上合成路线仅供参考