基本信息:
中文名称 氢溴酸加兰他敏
中文别名 氢溴加兰他敏;
英文名称 Galanthamine hydrobromide
英文别名 GalantaMine HydrobroMide;Galanthamine HBr;NIVALIN,HBR;(-)-Galanthaminium bromide;GALANTHAMIDE HYDROBROMIDE;Galanthamine (hydrobromide);GALANTHAMINE HBR;GALANTHAMINE HYDROBROMIDUM;NIVALIN;GALANTAMINE HBR;[3H]-Galantamine hydrobromide;
CAS号 1953-04-4
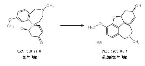
合成路线:
1.通过加兰他敏合成氢溴酸加兰他敏,收率约10%;

2.通过加兰他敏合成氢溴酸加兰他敏

以上合成路线仅供参考