你好,欢迎来到中华试剂网 购试剂 买耗材! [请登录][注册有惊喜]

货号快速下单 | 签到送积分   | 会员中心 | 客服热线:400-021-2765

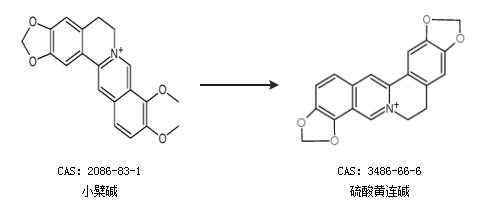
硫酸黄连碱的合成路线有哪些?

提问时间:2021/4/20 8:14:09
硫酸黄连碱有什么方法可以合成?

1条回复:

匿名
2021/4/20 8:14:09
基本信息:
中文名称 硫酸黄连碱
中文别名 小檗碱;黄连碱;黃蓮鹼;
英文名称 Coptisine
英文别名 coptisinium;
CAS号 3486-66-6

合成路线:
1.通过原阿片碱合成硫酸黄连碱


2.通过小檗碱合成硫酸黄连碱


更多路线和参考文献可参考
回复