你好,欢迎来到中华试剂网 购试剂 买耗材! [请登录][注册有惊喜]

货号快速下单 | 签到送积分   | 会员中心 | 客服热线:400-021-2765

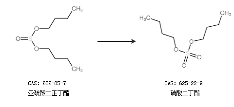
硫酸二丁酯的合成路线有哪些?

提问时间:2021/4/20 8:14:09
硫酸二丁酯有什么方法可以合成?

1条回复:

匿名
2021/4/20 8:14:09
基本信息:
中文名称 硫酸二丁酯
中文别名 硫酸丁酯;硫酸二正丁酯;
英文名称 Dibutyl Sulfate
英文别名 dibutyl sulfate;
CAS号 625-22-9

合成路线:
1.通过亚硫酸二正丁酯合成硫酸二丁酯


2.通过三丁基,三丁酯合成硫酸二丁酯,收率约28%;


更多路线和参考文献可参考
回复