你好,欢迎来到中华试剂网 购试剂 买耗材! [请登录][注册有惊喜]

货号快速下单 | 签到送积分   | 会员中心 | 客服热线:400-021-2765

硫代苹果酸的合成路线有哪些?

提问时间:2021/4/20 8:14:09
硫代苹果酸有什么方法可以合成?

1条回复:

匿名
2021/4/20 8:14:09
基本信息:
中文名称 硫代苹果酸
中文别名 巯基琥珀酸;硫代琥珀酸;巯基丁二酸;硫羟苹果酸;DL-巯基琥珀酸;
英文名称 thiomalic acid
英文别名 2-sulfanylbutanedioic acid;Mercaptosuccinic acid;
CAS号 70-49-5

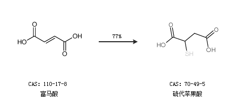
合成路线:
1.通过富马酸合成硫代苹果酸,收率约77%;


2.通过顺丁烯二酸合成硫代苹果酸


更多路线和参考文献可参考
回复