基本信息:
中文名称 邻硝基苯酚
中文别名 邻硝基酚;2-硝基苯酚;2-羟基硝基苯;
英文名称 2-nitrophenol
英文别名 O-NITROPHENOL;Phenol,2-nitro;o-nitro-pheno;2-Nitrophenol;o-nitrophenol[qr];2-nitro-pheno;Phenol,o-nitro;ortho-nitrophenol;2--nitrophenol;2-Nitrylphemol;o-Nitrofenol;o-hydroxynitrobenzene;2-nitro-1-hydroxybenzene;2-Hydroxynitrobenzene;
CAS号 88-75-5
合成路线:
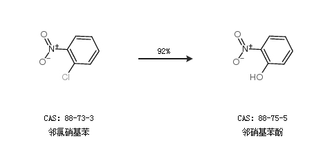
1.通过邻氯硝基苯合成邻硝基苯酚,收率约92%;

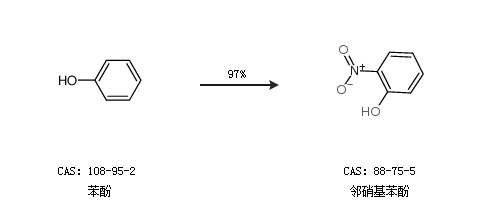
2.通过苯酚合成邻硝基苯酚,收率约97%;

更多路线和参考文献可参考