你好,欢迎来到中华试剂网 购试剂 买耗材! [请登录][注册有惊喜]

货号快速下单 | 签到送积分   | 会员中心 | 客服热线:400-021-2765

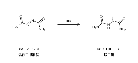
联二脲的合成路线有哪些?

提问时间:2021/4/20 8:14:09
联二脲有什么方法可以合成?

1条回复:

匿名
2021/4/20 8:14:09
基本信息:
中文名称 联二脲
中文别名 N,N''-二氨基甲酰肼;1,2-肼二甲酰胺;
英文名称 N,N''-Dicarbamoylhydrazine
英文别名 (carbamoylamino)urea;
CAS号 110-21-4

合成路线:
1.通过偶氮二甲酰胺合成联二脲,收率约10%;


2.通过盐酸氨基脲合成联二脲,收率约37%;


更多路线和参考文献可参考
回复