你好,欢迎来到中华试剂网 购试剂 买耗材! [请登录][注册有惊喜]

货号快速下单 | 签到送积分   | 会员中心 | 客服热线:400-021-2765

连翘苷的合成路线有哪些?

提问时间:2021/4/20 8:14:09
连翘苷有什么方法可以合成?

1条回复:

匿名
2021/4/20 8:14:09
基本信息:
中文名称 连翘苷
中文别名 连翘甙;木須皮苷;
英文名称 FORSYTHIN
英文别名 Phillyroside;PHILLYRIN;Pillyrin;Phyllyrin;Chionanthin;
CAS号 487-41-2

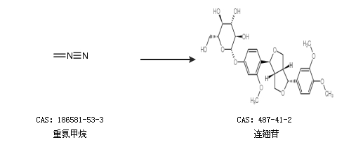
合成路线:
1.通过重氮甲烷合成连翘苷


更多路线和参考文献可参考
回复