基本信息:
中文名称 利奈孕醇
中文别名 类兴盖斯托;
英文名称 Lynestrenol
英文别名 org485-50;exluton;exluten;ethinylestrenol;19-Nor-4-pregnen-20-yn-17β-ol;Exlutena;lynenol;orgametil;LYNDIOL;exlution;exlutona;lynoestrenol;
CAS号 52-76-6
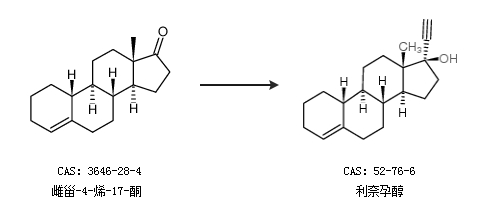
合成路线:
1.通过炔诺酮和碳黑合成利奈孕醇

2.通过雌甾-4-烯-17-酮合成利奈孕醇

更多路线和参考文献可参考