基本信息:
中文名称 醌茜素
中文别名 对醌对二酚茜素;1,2,5,8-四羟基-9,10-蒽二酮;1,2,5,8-四羟基蒽酮;1,2,5,8-四羟基蒽醌;
英文名称 quinalizarin
英文别名 Alizarine Bordeaux;1,2,5,8-tetrahydroxyanthracene-9,10-dione;1,2,5,8-tetrahydroxy-9,10-anthraquinone;1,2,5,8-tetrahydroxy-9,10-anthracenedione;1,2,5,8-tetrahydroxyanthraquinone;Alizarine Bordeaux B;9,10-Anthracenedione,1,2,5,8-tetrahydroxy;C.I. Mordant Violet 26;Quinalizarin;Alizarinbordeaux;Khinalizarin;
CAS号 81-61-8
合成路线:
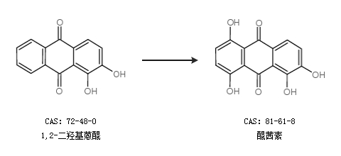
1.通过1,2-二羟基蒽醌合成醌茜素

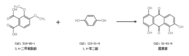
2.通过3,4-二甲氧酞酸和1,4-苯二酚合成醌茜素

更多路线和参考文献可参考