你好,欢迎来到中华试剂网 购试剂 买耗材! [请登录][注册有惊喜]

货号快速下单 | 签到送积分   | 会员中心 | 客服热线:400-021-2765

喹吖啶酮醌的合成路线有哪些?

提问时间:2021/4/20 8:14:09
喹吖啶酮醌有什么方法可以合成?

1条回复:

匿名
2021/4/20 8:14:09
基本信息:
中文名称 喹吖啶酮醌
英文名称 5,12-dihydroquinolino[2,3-b]acridine-6,7,13,14-tetrone
英文别名 EINECS 216-125-0;Quinacridonequinone;
CAS号 1503-48-6

合成路线:
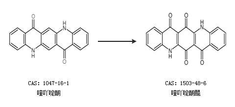
1.通过喹吖啶酮合成喹吖啶酮醌


2.通过喹吖啶酮合成喹吖啶酮醌


更多路线和参考文献可参考
回复