基本信息:
中文名称 坎利酮
中文别名 17α-(2-羧乙基)-17β-羟基雄甾-4,6-二烯-3-酮内酯;6-去氢睾(甾)酮-17α-丙酸-γ-内酯;17-羟基-3-氧代-17α-孕甾-4,6-二烯-21-羧酸-γ-内酯;雄甾-4,6-二烯-17β-醇-3-酮-17α-丙酸内酯;
英文名称 Canrenone
英文别名 ALDADIENE;phanurane;CANRENONE-D4;
CAS号 976-71-6
合成路线:
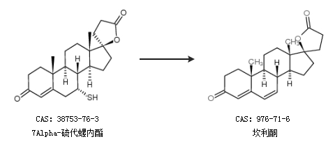
1.通过7Alpha-硫代螺内酯合成坎利酮

2.通过螺内酯合成坎利酮,收率约96%;

更多路线和参考文献可参考