你好,欢迎来到中华试剂网 购试剂 买耗材! [请登录][注册有惊喜]

货号快速下单 | 签到送积分   | 会员中心 | 客服热线:400-021-2765

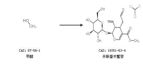
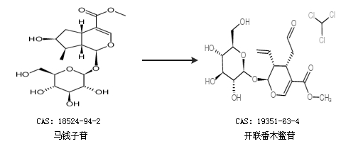
开联番木鳖苷的合成路线有哪些?

提问时间:2021/4/20 8:14:09
开联番木鳖苷有什么方法可以合成?

1条回复:

匿名
2021/4/20 8:14:09
基本信息:
中文名称 开联番木鳖苷
英文名称 (-)-secologanin
英文别名 LONICEROSIDE;SECOLOGANIN;
CAS号 19351-63-4

合成路线:
1.通过马钱子苷合成开联番木鳖苷


2.通过甲醇合成开联番木鳖苷


更多路线和参考文献可参考
回复