你好,欢迎来到中华试剂网 购试剂 买耗材! [请登录][注册有惊喜]

货号快速下单 | 签到送积分   | 会员中心 | 客服热线:400-021-2765

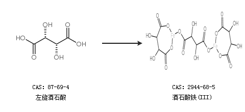
酒石酸铁(III)的合成路线有哪些?

提问时间:2021/4/20 8:14:09
酒石酸铁(III)有什么方法可以合成?

1条回复:

匿名
2021/4/20 8:14:09
基本信息:
中文名称 酒石酸铁(III)
英文名称 Iron(III) tartrate
英文别名 2,3-dihydroxybutanedioate,iron(3+);
CAS号 2944-68-5

合成路线:
1.通过左旋酒石酸合成酒石酸铁(III)


2.通过左旋酒石酸、水和铁合成酒石酸铁(III)


更多路线和参考文献可参考
回复