你好,欢迎来到中华试剂网 购试剂 买耗材! [请登录][注册有惊喜]

货号快速下单 | 签到送积分   | 会员中心 | 客服热线:400-021-2765

酒石酸铅的合成路线有哪些?

提问时间:2021/4/20 8:14:09
酒石酸铅有什么方法可以合成?

1条回复:

匿名
2021/4/20 8:14:09
基本信息:
中文名称 酒石酸铅
英文名称 2,3-dihydroxybutanedioate,lead(2+)
英文别名 EINECS 212-426-6;LEAD TARTRATE;
CAS号 815-84-9

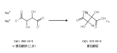
合成路线:
1.通过L-酒石酸钠(二水)合成酒石酸铅


2.通过左旋酒石酸合成酒石酸铅


更多路线和参考文献可参考
回复