基本信息:
中文名称 甲溴东莨菪碱
中文别名 甲基溴东莨菪碱;
英文名称 scopolamine methobromide
英文别名 N-methyl scopolammonium bromide;blocan;ScopolaMine Methyl BroMide;Methscopolamine Bromide;holopan;paraspan;mescopil;(?)-Scopolamine methyl bromide;holopon;Oxitropium bromide impurity B;Methscopolamine;(?)-Scopolamine methyl bromide Hyoscine methyl bromide Methscopolamine bromide;Hyoscine methyl bromide Methscopolamine bromide;(-)-N-methylscopolamine bromide;scopolamine methylbromide;METHSCOPOLAMINE BROMIDE;pamine;Methscopolamine (bromide);diopal;nutrop;
CAS号 155-41-9
合成路线:
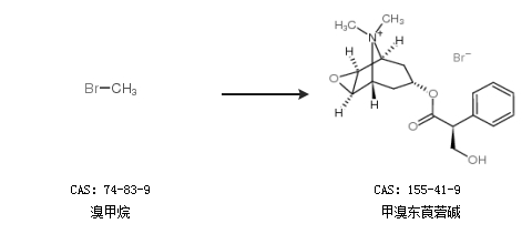
1.通过溴甲烷合成甲溴东莨菪碱

更多路线和参考文献可参考