你好,欢迎来到中华试剂网 购试剂 买耗材! [请登录][注册有惊喜]

货号快速下单 | 签到送积分   | 会员中心 | 客服热线:400-021-2765

甲基诺龙的合成路线有哪些?

提问时间:2021/4/20 8:14:08
甲基诺龙有什么方法可以合成?

1条回复:

匿名
2021/4/20 8:14:08
基本信息:
中文名称 甲基诺龙
中文别名 甲诺酮;
英文名称 Normethandrone
英文别名 Normethisterone;
CAS号 514-61-4

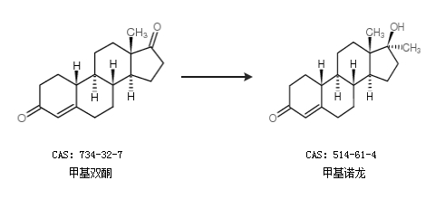
合成路线:
1.通过甲基双酮合成甲基诺龙


2.通过甲基溴化镁合成甲基诺龙


更多路线和参考文献可参考
回复