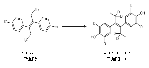
基本信息:
中文名称 己烯雌酚-D8
英文名称 DIETHYL-1,1,1'',1''-D4-STILBESTROL-3,3'',5,5''-D4
英文别名 <4(R)-(2)H>NADPH;Me3SiC6H4-p-NMe2;N,N-Dimethyl-p-(trimethylsilyl)aniline;[4,4'',6,6'',8,8''-2H8] trans-diethylstilbesterol;N,N-dimethyl-4-(trimethylsilyl)aniline;<4-(N,N-dimethylamino)phenyl>trimethylsilane;4-(trimethylsilyl)-N,N-dimethylaniline;1-Dimethylamino-4-trimethylsilylbenzene;p-(Trimethylsilyl)-N,N-dimethylaniline;(4R)-<4-2H>NADPH;Aniline,N,N-dimethyl-p-(trimethylsilyl)-(6CI,7CI,8CI);Trimethyl-(4-N,N-dimethylphenyl)silane;Benzenamine,N,N-dimethyl-4-(trimethylsilyl);N,N-dimethyl-4-trimethylsilanyl-aniline;p-(CH3)2NC6H4Si(CH3)3;E-2,2,3'',3'''',5,5,5'',5''''-octadeuteriodiethylstilbestrol;p-Dimethylaminophenyltrimethylsilane;(4R)-<4-(2)H1>-NADPH;
CAS号 91318-10-4
合成路线:
1.通过己烯雌酚合成己烯雌酚-D8,收率约71%;

2.通过己烯雌酚合成己烯雌酚-D8

更多路线和参考文献可参考